Sean P1(x1,y1)
y P2(x2,y2)
dos puntos cualesquiera.
Vamos a determinar la distancia d entre P1 y P2.
Tracemos las proyecciones de P1 y P2
hacia los ejes
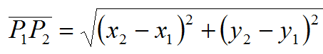
Extrayendo la raíz cuadrada a ambos miembros de la igualdad resulta:
y como ya se había determinado que
Concluimos
que la fórmula para determinar la distancia entre dos puntos es






No hay comentarios:
Publicar un comentario